Công thức Toán lớp 11 Học kì 2 chi tiết và đầy đủ nhất | TRỌNG TÂM ÔN THI
Với mục đích giúp học sinh dễ dàng nhớ và nắm vững những công thức của Toán lớp 11 học kì 2, Điểm 10+ đã tóm tắt bộ công thức Toán lớp 11 giúp học sinh đạt được điểm cao trong đề thi HK2 Toán học 11 sắp tới.
Công thức giải nhanh Toán lớp 11 Chương 4 Đại số
I. Giới hạn của dãy số
1. Một số giới hạn cơ bản
, với k nguyên dương
limnk = +∞ với k nguyên dương.

limC = C với C là hằng số.
2. Tính chất (Áp dụng khi tồn tại limun; limvn)

3. Cách tìm giới hạn dãy số:
- Nếu biểu thức có dạng phân thức mà mẫu và tử đều chứa luỹ thừa của n , ta chia tử và mẫu cho nk với k là số mũ cao nhất.
- Nếu biểu thức đã cho có chứa n dưới dấu căn thì có thể nhân tử và mẫu với cùng một biểu thức liên hợp.
II. Giới hạn của hàm số
1. Một số giới hạn cần nhớ

2. Tính chất (dùng khi tồn tại hình)

3. Tính chất

(bằng +∞ hay - ∞ ta phải xem dấu của L và coi
)

4. Giới hạn trái - giới hạn phải
+) Giới hạn bên trái,
tức
khi x < x0
+) Giới hạn bên phải,
tức
khi x > x0

5. Phương pháp tìm giới hạn hàm số
+) Dạng
(dạng
)
- Dùng lược đồ Hoocne.
- Nếu f;g chứa biến trong căn, ta nhân tử mẫu cho biểu thức liên hợp.
+) Dạng
- Chia tử, mẫu cho xn với n là số mũ cao nhất.
- Nếu f;g chứa biến trong căn, ta đưa xk ra ngoài dấu căn (với k là số mũ cao nhất trong căn), rồi chia tử và mẫu cho luỹ thừa của x
+) Dạng
( dạng (∞ – ∞))
Dạng
( dạng 0.∞)
Nhân và chia với biểu thức liên hợp hoặc qui đồng mẫu.
III. Hàm số liên tục
1. Hàm số liên tục bên trái
f liên tục trái tại x0 ⇔ 
2. Hàm số liên tục bên phải
f liên tục phải tại x0 ⇔ 
3. Hàm số liên tục
f liên tục tại x0 ⇔ 
4. Chứng minh phương trình f = 0 có ít nhất một nghiệm trong khoảng (a; b) phương trình
⇒ có ít nhất 1 nghiệm trong khoảng (a;b)
Công thức giải nhanh Toán lớp 11 Chương 2 Hình học
1. Vị trí tương đối giữa đường thẳng và mặt phẳng


2. Vị trí tương đối giữa hai mặt phẳng



3. Vị trí tương đối giữa hai đường thẳng




4. Cách xác định giao tuyến giữa hai mặt phẳng
Cách 1: Tìm hai điểm chung của hai mặt phẳng.

Chú ý: Để tìm điểm chung của hai mặt phẳng ta thường tìm hai đường thẳng đồng phẳng lần lượt nằm trong hai mặt phẳng. Giao điểm, nếu có, của hai đường thẳng này chính là điểm chung cần tìm
Cách 2: Tìm một điểm chung của hai mặt phẳng và phương giao tuyến (tức tìm trong hai mặt phẳng hai đường thẳng song song với nhau).

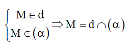
5. Cách xác định giao điểm giữa đường thẳng và mặt phẳng

Để tìm giao điểm của d và (α) , ta tìm trong (α) một đường thẳng a cắt d tại M . Khi đó: M = d ∩ (α) .

Chú ý: Nếu a chưa có sẵn thì ta chọn (β) qua d và lấy a = (α) ∩ (β).
6. Thiết diện
Thiết diện của mặt phẳng (α) với hình chóp là đa giác giới hạn bởi các giao tuyến của (α) với các mặt của hình chóp. Như vậy, để tìm thiết diện ta lần lượt đi tìm giao tuyến của (α) với các mặt của hình chóp.
7. Chứng minh đường thẳng song song đường thẳng
Cách 1: Chứng minh hai đường thẳng đồng phẳng rồi áp dụng phương pháp chứng minh song song trong hình học phẳng (đường trung bình; định lí Tales…)
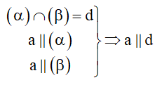
Cách 2: Hai đường thẳng phân biệt cùng song song với đường thẳng thứ ba thì song song với nhau.

Cách 3: Hai mặt phẳng cắt nhau theo giao tuyến và lần lượt chứa hai đường thẳng song song thì giao tuyến của nó sẽ có 3 trường hợp:
, 
Như vậy, trong trường hợp này ta chỉ cần chỉ ra d không trùng với a hoặc b thì sẽ suy ra được d // a hoặc d // b
Cách 4: Hai mặt phẳng cắt nhau theo giao tuyến , đường thẳng nằm trong và song song với mặt phẳng còn lại thì sẽ song song với giao tuyến.
, 
Cách 5: Hai mặt phẳng cắt nhau theo giao tuyến d , đường thẳng a song song với cả hai mặt phẳng thì sẽ song song với giao tuyến.
, 
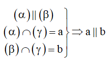
Cách 6: Hai mặt phẳng song song bị cắt bởi mặt phẳng thứ 3 thì hai giao tuyến đó song song.
, 
Cách 7: Ba mặt phẳng cắt nhau theo 3 giao tuyến phân biệt, thì 3 giao tuyến ấy song song hoặc đồng quy.

Như vậy, ta chỉ cần chứng minh a;b;c không đồng quy thì sẽ suy ra được a//b//c

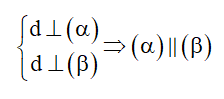
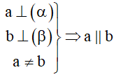
Cách 8: Hai đường thẳng phân biệt cùng vuông góc với một mặt phẳng thì song song với nhau.
, 
8. Chứng minh đường thẳng song song với mặt phẳng
Cách 1: Chứng minh đường thẳng d không nằm trong (α) và song song với đường thẳng a nằm trong (α) .
, 
Cách 2: Hai mặt phẳng song song với nhau, mọi đường thẳng nằm trong mặt này sẽ song song với mặt kia.
, 
9. Chứng minh hai mặt phẳng song song
Cách 1: Chứng minh trong mặt phẳng thứ nhất chứa hai đường thẳng cắt nhau và song song mặt phẳng thứ hai, khi đó hai mặt phẳng song song với nhau.
, 
Cách 2: Hai mặt phẳng phân biệt cùng vuông góc với một đường thẳng thì song song với nhau.
, 
Kết luận
Trên đây là tổng hợp các công thức toán 11 hk2, Các bạn có thể tham khảo và ôn tập cho các kỳ thi sắp tới. Hy vọng rằng bài viết này của Điểm 10+ sẽ hữu ích đối với bạn.
CẬP NHẬT MỚI NHẤT thông tin liên hệ và các chi nhánh của Điểm 10+: Tại đây
Tham khảo KHÓA HỌC TOÁN LỚP 11: Tại đây





